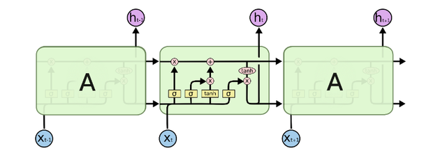
- Long Short Term Memory (LSTM) : Verilog Implementation
Clone this repository:
git clone https://github.com/ahirsharan/LSTM.git
cd LSTM/.
|
├── lstm_cell.v # LSTM cell
|
├── sigmoid.v # Approx Sigmoid Activation
|
├── tanh.v # Approx Tanh Activation
|
├── ConcatMultAdd.v # Concat and mutiply weights and add bias
|
├── Test.v # Test Bench for LSTM Cell
|
.
