Code to render tree structure from input number
$ pip install graphviz
$ git clone https://github.com/KotatuBot/-Tree_drawing.git
$ python tree_drawing.py
Please enter a file name
Filename: Grap
Please enter a numeric value separated by a ","
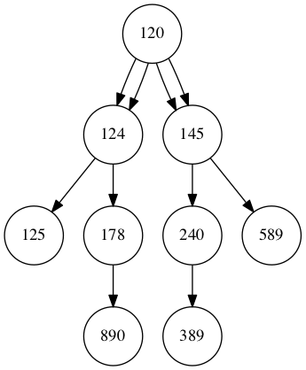
Input number: 120,124,125
Input number: 120,124,178,890
Input number: 120,145,589
Input number: 120,145,240,389
Input number: exit
