Skip to content
@Densky-Framework

Densky Framework

The Backend Framework For Deno Made In Rust

Densky Framework

maintained - yes Made with Rust Made with Deno

📝 Table of Contents

📓 What is Densky?

Densky is a backend framework based on file-routing and an optimized build step. The build step is the most important feature because it makes the app super fast without complex code. This is expected to be deployed on the edge Deno Deploy

🌟 Features

  • Deno deploy: Support for Deno Deploy.
  • Rust core: All the core code is written in Rust, which makes the app blazing fast.
  • File routing: This solves the organization problem without import hell.
  • Optimized Router: There's an algorithm to reduce the cost of routing using simple if statements and minimized loops, avoiding complex regex.
  • Route Params: The route parameters can be used with $ at the start of the filename.
  • 🚧 Websockets: Support websockets with zero configuration and file routing for message topics.
  • 🚧 DB ORM: Own ORM with auto-generated endpoints specified on the model.

🚀 Getting started

🚧 Work in progress (CLI is not working)

Initialize the project:

$ densky init

Run in dev mode:

$ densky dev

Production:

$ densky build # Build .densky, the main.ts is always there
$ densky preview

🏍️ Router

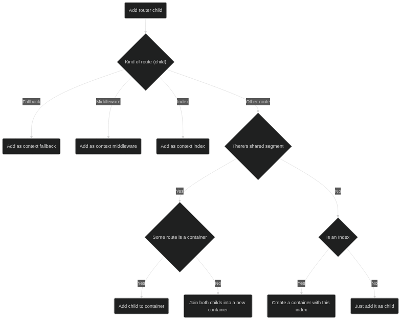
The router's algorithm tries to create the most compact tree. Here's the decision tree of the algorithm: Super simplified abstract version:

  • There's brother on container?
    • Expand it, and join to him
    • Join as unique son

The result can be visualized with the following graph:

Optimized Others
Optimized Tree Graph Others Tree Graph

There's a significant reduction in nodes that translates to fewer validations, but it has more to offer. The type of validations used is with a simple if statement.

Here's an example of the output code for a simple node:

export default function(req) {
  if (req.__accomulator__.path === "route-a") {
    // Update the accumulator for next nodes
    req.__accumulator__.segments = req.__accumulator__.segments.slice(1);
    req.__accumulator__.path = req.__accumulator__.segments.join("/");
    // ...
  }
}

Route params

The route parameters are also supported by the same router. At the tree level, they are treated like any other node, but the compiler changes the validation. Here's an example of the output code for a route parameter node:

const __matcher_serial = [{
  raw: "$varname",
  isVar: true,
  varname: "varname"
}];
const __matcher_start = (/* ... */) => Densky.Runtime.matcherStart(__matcher_serial, /* ... */);
export default function(req) {
  if (__matcher_start(req.__accumulator__.segments, new Map(), req.params)) {
    // Update the accumulator for next nodes
    req.__accumulator__.segments = req.__accumulator__.segments.slice(1);
    req.__accumulator__.path = req.__accumulator__.segments.join("/");
    // Now can use the param
    req.params.get("varname"); // OK
    // ...
  }
}

Pinned Loading

  1. densky-old densky-old Public

    A blazing fast backend framework for Deno made in Rust

    Rust 7

  2. dynamic-html dynamic-html Public

    A blazing fast library to make simple ssr view with a build step to optimize

    Rust 1

  3. docs docs Public

    Documentation for Densky Framework

    MDX

  4. densky-videos densky-videos Public

    Code of all videos for Densky explain/tutorial

    TypeScript

  5. core-ts core-ts Public archive

    A custom backend framework in Deno

    TypeScript

Repositories

Showing 9 of 9 repositories

Top languages

Loading…

Most used topics

Loading…